Зачем нужен тормозной резистор и на что обратить внимание при выборе

Современные электроприводы работают в условиях, когда на двигатель приходится задача не только разгона, но и эффективного замедления механизма. При торможении асинхронный двигатель отдает энергию обратно в преобразователь частоты, работая в режиме генератора, вследствие чего напряжение в звене постоянного тока повышается. Чтобы избыточная энергия не стала причиной неисправностей, ее необходимо безопасно рассеять. Для решения этой задачи используют тормозные резисторы.
Что такое тормозной резистор
Тормозной резистор – это электрический резистивный элемент, предназначенный для рассеивания избыточной энергии, возникающей при торможении электрического двигателя или иной электромеханической системы. Правильно подобранное устройство играет ключевую роль в безопасности и долговечности оборудования. Оно обеспечивает контролируемое торможение и защищает силовую электронику, делая работу механизмов более надежной и предсказуемой.
Зачем нужен тормозной резистор
Во время подачи сигнала «СТОП» на вход преобразователя частоты, если останов настроен на режим «Остановки выбегом», ПЧ отключается от двигателя и начинает замедляться по инерции. Время торможения непредсказуемо и зависит только от инерционных свойств нагрузки.
В таком режиме ротор при остановке начинает вращаться по инерции, а двигатель временно переходит в режим генератора. В результате на двигателе образуется избыточная энергия, которая уходит на ПЧ, что приводит к повышению напряжения постоянного тока на шине. Если не обеспечить отвод этой энергии, силовые элементы будут подвержены риску повреждения, а работа всего привода станет нестабильной.
Для сохранения стабильности работы и обеспечения безопасности системы используют тормозной резистор. Когда напряжение превышает заданный уровень, тормозной модуль подключает тормозной резистор к шине, направляя ток через резистор. Он принимает на себя избыточную энергию и рассеивает ее в тепло: энергия проходит через резистивный элемент, где в соответствии с законом Джоуля-Ленца электрический ток выделяет тепло, рассеивающееся в окружающей среду.
Таким образом, тормозной резистор выполняет функцию энергетического отвода: снижает пиковые нагрузки, предотвращает опасные скачки напряжения и перегрев силовых элементов.
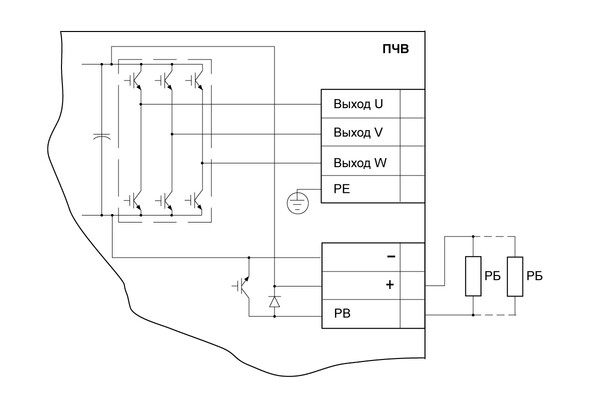
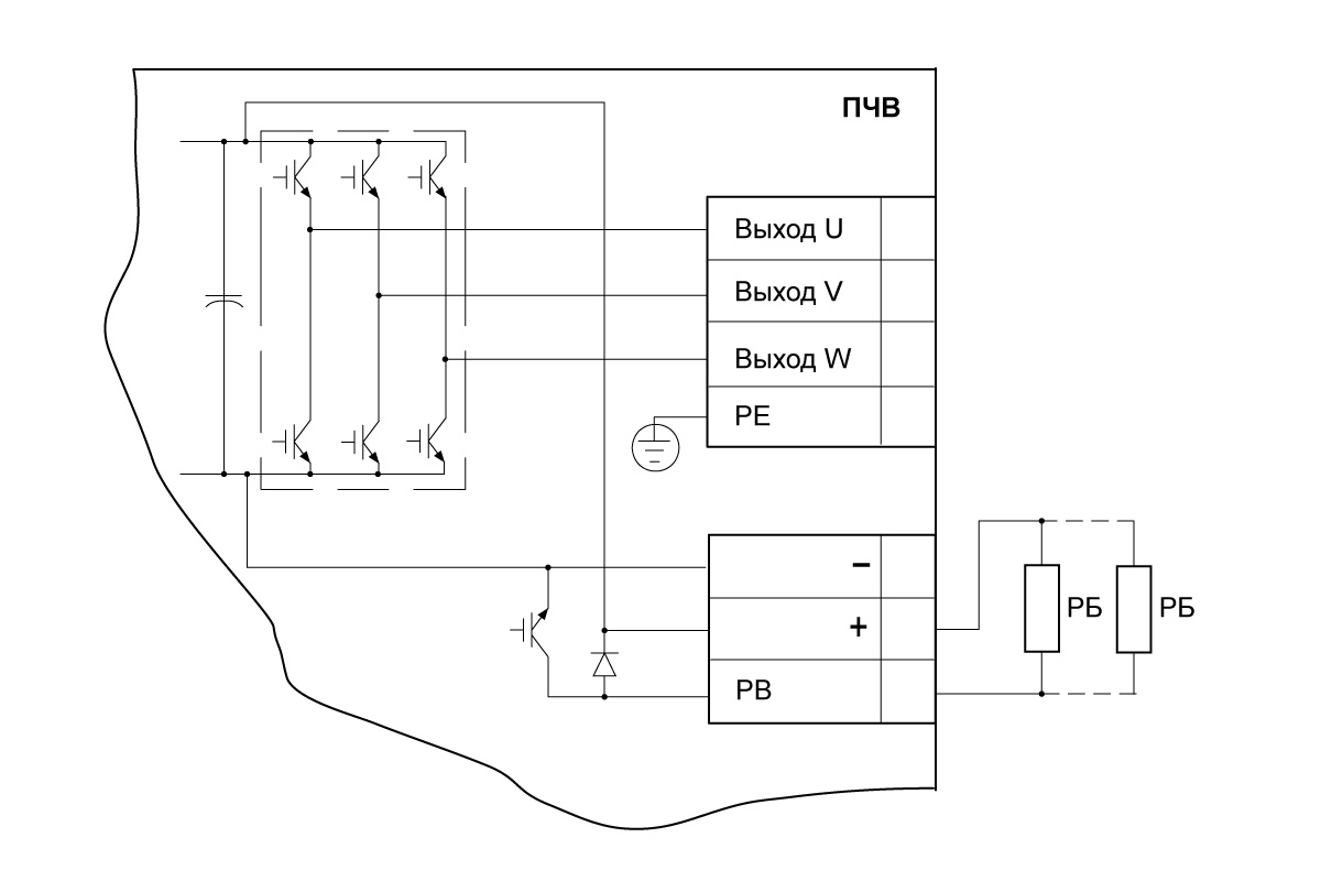
Подключение тормозного резистора
Подключение тормозных резисторов к цепи постоянного тока осуществляется через клеммы +/РВ. Элементы крепятся на несущую огнестойкую поверхность в вертикальном или горизонтальном положении – такое положение обеспечивает поступление максимального количества охлаждающего воздуха ко всей поверхности охлаждения резистора. В противном случае, допустимая мощность рассеяния должна быть снижена на 20 %.
На что обратить внимание при подборе тормозного резистора
Грамотный подбор тормозного резистора — это не просто вопрос технической совместимости, а залог долговечной и бесперебойной работы оборудования. Выбирая оборудование, необходимо учитывать такие ключевые параметры, как сопротивление, мощность, режим работы и условия охлаждения.
Сопротивление
Связь между величиной сопротивления и эффективностью торможения. При выборе слишком низкого сопротивления возрастает риск перегрева, а при слишком высоком снижается эффективность торможения.
Номинальная мощность
Определяет какое количество энергии резистор сможет рассеять без перегрева. Рассчитывается в зависимости от мощности и режима работы двигателя.
Перегрузочная способность
Способность резистора выдерживать кратковременные пиковые нагрузки при экстренном торможении.
Режим работы
Влияние циклов включения/выключения на выбор модели.
Охлаждение
Естественное или принудительное, значение для длительной эксплуатации. Некоторые резисторы способны кратковременно выдерживать перегрев выше номинального значения, так же при высоких температурах окружающей среды эффективность тормозного резистора может снизится.
Конструктивное исполнение
Может быть открытым, закрытым, защищенным по IP и по применению в разных условиях. Для промышленных условий желательно использовать резисторы с защитой от пыли и влаги (IP54 и выше).
На что обратить внимание при расчетах
Только комплексный подход к расчету и эксплуатации позволит использовать все преимущества тормозного резистора и избежать дорогостоящих простоев и ремонтов.
Расчет резистора проводится в несколько этапов, куда входит расчет максимального момента инерции торможения М, расчет максимальной мощности и электрической мощности торможения, расчет максимально допустимого тормозного сопротивления и расчет номинальной мощности тормозного резистора.
Ниже приведены формулы расчетов параметров.
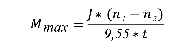
1. Расчет максимального момента инерции торможения М:
n1 – начальная скорость замедления
n2 – конечная скорость замедления
t – время замедления
J – сумма всех моментов инерции системы приведенных к валу двигателя
Момент инерции можно рассчитать по нижеприведенным формулам:
2. Расчет максимальной мощности торможения
Mmax – максимальный момент инерции торможения
n1 – начальная скорость замедления
n2 – конечная скорость замедления
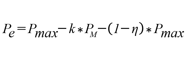
3. Расчет максимальной электрической мощности торможения
Pmax – максимальная мощность торможения
k – коэффициент уменьшения
PM – мощность двигателя
η – КПД редуктора
Коэффициент уменьшения k зависит от номинальной мощности двигателя PM:
| PM, кВт | k |
| до 1,5 | 0,25 |
| 2,2 – 4,0 | 0,20 |
| 5,5 – 11 | 0,15 |
| 15 – 45 | 0,08 |
| свыше 45 | 0,05 |
Если коэффициент полезного действия редуктора η неизвестен, его можно принять равным 1.
4. Расчет максимально допустимого тормозного сопротивления
U – напряжение на шине постоянного тока
Pe – максимальная электрическая мощность торможения
Здесь напряжение на шине постоянного тока преобразователя частоты численно равно:
- 380В - 757В +/-3%;
- 220В - 387В +/-3%.
Rв выбирается из стандартного ряда тормозных резисторов и не должно быть больше рассчитанного значения.
5. Расчет номинальной мощности тормозного резистора
Pe – максимальная электрическая мощность торможения
Коэффициент fk зависит от параметра ПВ:
Для стандартного значения тормозных резисторов ОВЕН ПВ=10% коэффициент fk составляет примерно 7.
Где применяют тормозные резисторы
Тормозные резисторы необходимо устанавливать при больших нагрузках, частых и быстрых торможениях, а также в механизмах с большой инерцией. Особенно это актуально для приводов и вращающих массивных инерционных элементов, таких как маховики, барабаны, центрифуги, вентиляторы или большие насосные колеса. При их остановке или замедлении накопленная ими кинетическая энергия может быть чрезвычайно велика, и без надлежащего рассеивания она создаст избыточную нагрузку на электрическую часть привода.
В современных системах автоматизации тормозной резистор – неотъемлемая часть электрического привода, обеспечивающая высокий уровень безопасности, предсказуемости и эффективности технологических процессов. Использование тормозных резисторов повышает общий уровень надежности электрических систем. Благодаря стабильному торможению и снижению рисков перенапряжения оборудование функционирует более предсказуемо, что особенно важно для автоматизированных производственных линий, подъемно-транспортных механизмов и систем с высокой частотой пусков и остановок.
В каталоге ОВЕН представлены проволочные тормозные резисторы с керамическим корпусом и степенью защиты IP00 – РБ1. А также резисторы с алюминиевым или керамическим корпусом и степенью защиты IP54 – РБ3.




